Một doanh nghiệp vừa mua lại hơn 2.600 tỷ đồng trái phiếu chỉ trong 1 ngày

20/03/2023 09:37 Phát triển bền vững An Nhiên
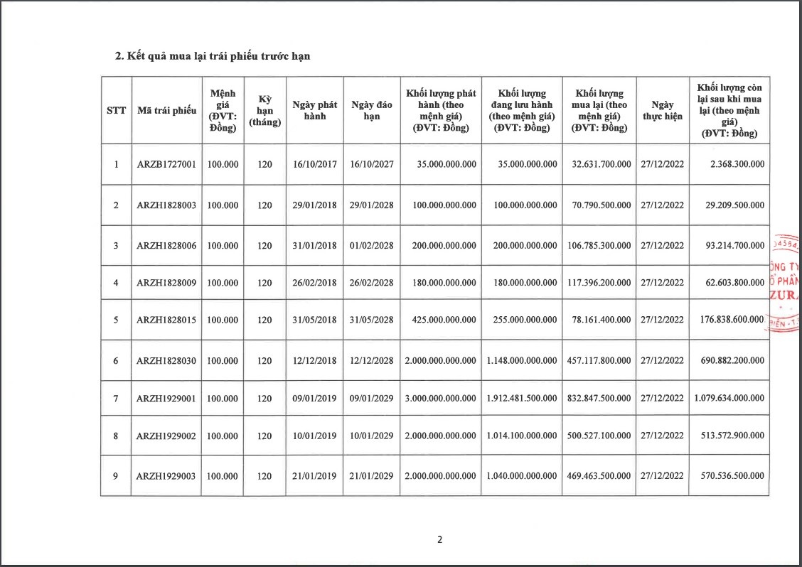
CTCP Azura vừa thông báo về việc đã chi ra hơn 2.600 tỷ đồng để mua lại trái phiếu trước hạn của 9 lô trái phiếu khác nhau được doanh nghiệp này phát hành từ năm 2027 đến năm 2019. Đáng chú ý, các thương vụ mua lại trái phiếu được Azura thực hiện trong cùng 1 ngày 27/12/2022.

Cụ thể, theo thông tin từ Sở giao dịch Chứng khoán Hà Nội (HNX), các lô trái phiếu vừa được Azura mua lại có mã lần lượt là ARZB1727001; ARZH1828003; ARZH1828006; ARZH1828009; ARZH1828015; ARZH1828030;; ARZH1929001; ARZH1929002 và ARZH1929003.

Tương ứng với giá trị mua lại lần lượt là 32.631.700.000 đồng; 70.790.500.000 đồng; 106.785.300.000 đồng; 117.396.200.000 đồng; 78.161.400.000 đồng; 457.117.800.000 đồng; 832.847.500.000 đồng; 500.527.100.000 đồng và 469.463.500.000 đồng.

Tổng giá trị mua lại của 9 lô trái phiếu trên là 2.665.721.000.000 đồng.

Các lô trái phiếu vừa được Azura mua lại trong ngày 27/12/2022.
Các lô trái phiếu vừa được Azura mua lại trong ngày 27/12/2022.

Có thể thấy, chỉ trong vòng 1 ngày, Azura đã chi ra tới gần 2.700 tỷ đồng để mua lại các lô trái phiếu đã được doanh nghiệp này phát hành vào thời điểm từ năm 2017 đến 2019. Các lô trái phiếu này đều có kỳ hạn 10 năm (thời điểm đáo hạn từ năm 2027 đến năm 2029 tùy từng lô).

Được biết đây không phải lần đầu tiên Azura dồn dập mua lại hàng nghìn tỷ đồng trái phiếu khi trước đó, vào ngày hai ngày 24/8 và 29/8/2022, doanh nghiệp này cũng đã mua lại lại tổng cộng hơn 7.300 tỷ đồng trong số các trái phiếu đã phát hành năm 2018 và đầu 2019.

Ngay sau đó, vào thời điểm từ 13/10 đến 21/10/2022, Azura cũng đã thông báo về việc mua lại hơn 3.000 tỷ đồng trái phiếu của 5 lô trái phiếu được doanh nghiệp phát hành vào thời điểm từ năm 2018 đến 2019.

Một doanh nghiệp vừa mua lại hơn 2.600 tỷ đồng trái phiếu chỉ trong 1 ngày
Một doanh nghiệp vừa mua lại hơn 2.600 tỷ đồng trái phiếu chỉ trong 1 ngày
Danh sách toàn bộ lô trái phiếu đã được Azura mua lại tính đến thời điểm hiện tại.

Như vậy, tính đến thời điểm hiện tại, Azura đã chi ra tới 13.000 tỷ đồng để mua lại trái phiếu trước hạn.

Các lô trái phiếu đã được Azura phát hành gần như không có thông tin về trái chủ mua trái phiếu, mục đích phát hành hay tài sản đảm bảo. Thời điểm năm 2018, đầu 2019 khi Azura phát hành trái phiếu, các nhà đầu tư chưa có nhiều quan tâm đến trái phiếu.

Về phía Azura, theo tìm hiểu, doanh nghiệp được thành lập vào ngày 13/12/2011, có trụ sở chính tại 63 phố Gia Thượng, Phường Ngọc Thuỵ, Quận Long Biên, TP Hà Nội. Người địa diện pháp luật hiện tại của doanh nghiệp là ông Dương Thành Trung với lĩnh vực hoạt động chính là hỗ trợ dịch vụ tài chính chưa được phân vào đâu.

Các tin khác

Vai trò, sứ mệnh của Hiệp hội Dữ liệu Quốc gia vì một Việt Nam thịnh vượng

Vai trò, sứ mệnh của Hiệp hội Dữ liệu Quốc gia vì một Việt Nam thịnh vượng

Vai trò, sứ mệnh của Hiệp hội Dữ liệu quốc gia trong công cuộc chuyển đổi số quốc gia, hình thành và phát triển nền kinh tế dữ liệu, vì một Việt Nam thịnh vượng.
Việc làm xanh: “Cơn khát” nhân lực và cuộc đua chuyển đổi kỹ năng trong kỷ nguyên mới

Việc làm xanh: “Cơn khát” nhân lực và cuộc đua chuyển đổi kỹ năng trong kỷ nguyên mới

Thị trường lao động toàn cầu đang chứng kiến sự bùng nổ của “việc làm xanh” (green jobs), với nhu cầu tuyển dụng tăng vọt so với nguồn cung nhân lực có kỹ năng. Thực trạng này đặt ra thách thức lớn về đào tạo và phát triển kỹ năng, đồng thời mở ra cơ hội nghề nghiệp rộng lớn trong kỷ nguyên chuyển dịch sang nền kinh tế carbon thấp.
Prudential ra mắt sản phẩm bảo hiểm liên kết chung PRU-Bảo Vệ Tối Đa

Prudential ra mắt sản phẩm bảo hiểm liên kết chung PRU-Bảo Vệ Tối Đa

Theo Prudential, đây là giải pháp bảo hiểm nhân thọ trọn đời với giá trị bảo vệ được tối ưu hóa trên phí đóng đáp ứng khả năng tài chính, giúp khách hàng chủ động lên kế hoạch bảo vệ và tích lũy dài hạn.
Công đoàn Than Mông Dương: Tiếp tục nâng cao phúc lợi cho người lao động

Công đoàn Than Mông Dương: Tiếp tục nâng cao phúc lợi cho người lao động

Điều chúng tôi cảm thấy tự hào nhất là đã mang lại niềm vui và hạnh phúc cho người lao động, sự gắn kết giữa công đoàn và người lao động... Chúng tôi đã tổ chức nhiều hoạt động chăm lo đời sống cho công nhân như quà tặng Tết, hỗ trợ học bổng cho con công nhân và khám sức khỏe định kỳ.
Sức mạnh mềm của tổ chức, nhìn từ một sự kiện văn hóa doanh nghiệp tầm cỡ

Sức mạnh mềm của tổ chức, nhìn từ một sự kiện văn hóa doanh nghiệp tầm cỡ

Ngày hội văn hóa SHB và T&T Group 2025 là minh chứng rõ nét về sức mạnh của văn hóa doanh nghiệp trong việc tạo động lực, kết nối con người và thúc đẩy tổ chức phát triển cùng đất nước. Cách sự kiện được tổ chức đã đặt ra những chuẩn mực mới cho việc làm văn hóa doanh nghiệp ở Việt Nam.
Kinh tế tư nhân và bứt phá thể chế

Kinh tế tư nhân và bứt phá thể chế

Muốn có doanh nghiệp lớn, thì phải có tư duy lớn và thể chế lớn. Một quốc gia muốn phát triển bền vững không thể thiếu khu vực kinh tế tư nhân năng động, sáng tạo và vững mạnh. Khi thể chế mở đường, doanh nhân sẽ tự tin bước tới.
AI nên được sử dụng như một lợi thế chiến lược của doanh nghiệp hơn là công cụ cắt giảm nhân sự

AI nên được sử dụng như một lợi thế chiến lược của doanh nghiệp hơn là công cụ cắt giảm nhân sự

Ứng dụng trí tuệ nhân tạo (AI) vào doanh nghiệp không chỉ đơn thuần là một phương thức cắt giảm chi phí lao động. Nếu không có chiến lược hợp lý, việc sa thải hàng loạt có thể gây ra hậu quả nghiêm trọng cho doanh nghiệp trong dài hạn.
“Tác giả” là ai trong kỷ nguyên AI?

“Tác giả” là ai trong kỷ nguyên AI?

Công nghệ trí tuệ nhân tạo (AI) đã làm mờ đi ranh giới giữa con người và máy móc trong quá trình sáng tạo nghệ thuật. Khi một bức tranh được vẽ bởi AI, một bản nhạc được sáng tác chỉ bằng vài dòng lệnh, hoặc một bài thơ được tạo ra bởi chatbot, câu hỏi then chốt được đặt ra là: Ai là tác giả thực sự?
Sáng tạo AI – Tài sản công hay sản phẩm có bản quyền?

Sáng tạo AI – Tài sản công hay sản phẩm có bản quyền?

Công nghệ trí tuệ nhân tạo (AI) đã thay đổi cách con người sáng tạo nội dung, từ hình ảnh, video đến âm nhạc và văn bản. Chỉ cần vài dòng lệnh (prompt), AI có thể tạo ra những tác phẩm ấn tượng, thu hút hàng triệu lượt xem trên các nền tảng như TikTok, Facebook hay Instagram. Nhưng điều này cũng đặt ra một vấn đề pháp lý quan trọng: “Liệu các sản phẩm nghệ thuật do AI tạo ra có được bảo hộ quyền tác giả như các tác phẩm do con người sáng tạo hay không”?
Áp lực lạm phát, doanh nghiệp cần làm gì để thích ứng và nâng cao năng lực cạnh tranh?

Áp lực lạm phát, doanh nghiệp cần làm gì để thích ứng và nâng cao năng lực cạnh tranh?

Lạm phát là một hiện tượng kinh tế vĩ mô có tác động sâu rộng đến toàn bộ nền kinh tế, đặc biệt là khu vực doanh nghiệp. Khi giá hàng hoá và dịch vụ leo thang, không chỉ người tiêu dùng chịu ảnh hưởng mà các doanh nghiệp cũng phải đối mặt với hàng loạt thách thức. Từ áp lực chi phí, tiền lương, đến sức mạnh tài chính và nhu cầu thị trường, mỗi doanh nghiệp đều phải đánh giá tác động của lạm phát để có chiến lược ứng phó phù hợp.
Ngày hội Văn hóa SHB - T&T 2025: Ba thập kỷ “Nhất Tâm”, vững bước cùng đất nước vươn Tầm

Ngày hội Văn hóa SHB - T&T 2025: Ba thập kỷ “Nhất Tâm”, vững bước cùng đất nước vươn Tầm

Với tinh thần “Nhất Tâm” và khát vọng cất cánh, SHB và T&T Group đã sẵn sàng đồng hành cùng đất nước tiến vào kỷ nguyên mới. Tại đây, mỗi bước tiến là lời khẳng định đầy tự hào về sức mạnh, sự sáng tạo và tinh thần dân tộc.
Bảo vệ dữ liệu cá nhân cho doanh nghiệp vừa và nhỏ: Thách thức và giải pháp từ chuyên gia

Bảo vệ dữ liệu cá nhân cho doanh nghiệp vừa và nhỏ: Thách thức và giải pháp từ chuyên gia

Trong bối cảnh mối đe dọa an ninh mạng ngày càng gia tăng các, doanh nghiệp nhỏ và vừa (SMEs) đang trở thành mục tiêu tấn công chính của tin tặc. Việc quản lý rủi ro bảo mật và bảo vệ dữ liệu cá nhân không chỉ là yêu cầu tuân thủ pháp luật mà còn là yếu tố quan trọng để duy trì niềm tin của khách hàng. Nếu không có các biện pháp bảo vệ thích hợp, SMEs có thể phải đối mặt với hậu quả nghiêm trọng, từ mất dữ liệu, sụt giảm doanh thu cho đến mất uy tín trên thị trường.
“Agribank - Thêm cây, thêm sự sống”, lan tỏa hành trình “Vì tương lai xanh” tại Mê Linh

“Agribank - Thêm cây, thêm sự sống”, lan tỏa hành trình “Vì tương lai xanh” tại Mê Linh

Ngày 14/3/2025, Ngân hàng Nông nghiệp và Phát triển Nông thôn Việt Nam (Agribank) đã phối hợp cùng UBND huyện Mê Linh tổ chức chương trình trồng cây xanh với thông điệp “Agribank - Vì một tương lai xanh - Thêm cây, thêm sự sống”.
Khi AI trở thành "nhân viên chăm sóc khách hàng"

Khi AI trở thành "nhân viên chăm sóc khách hàng"

Ngành chăm sóc khách hàng đang chứng kiến một cuộc cách mạng công nghệ khi trí tuệ nhân tạo (AI) dần thay thế con người trong nhiều khâu công việc.
AI sẽ “soán ngôi” kế toán viên? Giải mã tương lai ngành kế toán trong kỷ nguyên số

AI sẽ “soán ngôi” kế toán viên? Giải mã tương lai ngành kế toán trong kỷ nguyên số

Trí tuệ nhân tạo (AI) đang tạo ra làn sóng thay đổi mạnh mẽ trong mọi lĩnh vực, và kế toán cũng không ngoại lệ. Liệu AI có thể thay thế hoàn toàn kế toán viên hay chỉ là một công cụ hỗ trợ đắc lực? Các kế toán viên cần làm gì để thích ứng và phát triển trong kỷ nguyên số?
“Cơn lốc” AI “càn quét” ngành xử lý dữ liệu

“Cơn lốc” AI “càn quét” ngành xử lý dữ liệu

Sự phát triển nhanh chóng của AI đang đặt ra câu hỏi lớn: “Liệu AI có thực sự là mối đe dọa đối với thị trường lao động, đặc biệt là trong ngành nhập liệu và xử lý dữ liệu, hay nó chỉ đơn thuần là công cụ tái cấu trúc nhân sự”?
Công đoàn Ngân hàng: Đồng hành cùng phụ nữ đổi mới, sáng tạo trong kỷ nguyên số

Công đoàn Ngân hàng: Đồng hành cùng phụ nữ đổi mới, sáng tạo trong kỷ nguyên số

Chuyển đổi số mang đến cơ hội lớn nhưng cũng đặt ra không ít thách thức cho lao động nữ ngành Ngân hàng. Nhận thức rõ điều này, Công đoàn Ngân hàng Việt Nam đã và đang chủ động phối hợp, triển khai nhiều hoạt động thiết thực, khẳng định vai trò nòng cốt trong việc hỗ trợ, tạo điều kiện để phụ nữ phát huy tối đa năng lực, không ngừng đổi mới, sáng tạo, góp phần quan trọng vào sự phát triển bền vững của Ngành.
Kế toán viên cần “tiến hóa” cùng AI

Kế toán viên cần “tiến hóa” cùng AI

Sự phát triển nhanh chóng của trí tuệ nhân tạo (AI) đang thay đổi sâu rộng ngành kế toán. Thay vì bị loại bỏ hoàn toàn, các kế toán viên phải thích nghi với những vai trò mới, từ phân tích tài chính, tư vấn chiến lược đến kiểm toán nâng cao.
Kế toán viên hãy cẩn thận: AI đang đến gần!

Kế toán viên hãy cẩn thận: AI đang đến gần!

Trong vòng 3 năm tới, 80% nhân sự kế toán có thể bị thay thế bởi trí tuệ nhân tạo (AI), theo một nghiên cứu được công bố tại Đại hội Sales và Marketing toàn quốc (VSMCamp) và Hội nghị cấp cao các Giám đốc Sales và Marketing (CSMOSummit) lần thứ 8 vừa diễn ra gần đây.
VNI đổi tên thành DBV: Bước chuyển mình lớn của VNI

VNI đổi tên thành DBV: Bước chuyển mình lớn của VNI

Việc Tổng công ty Cổ phần Bảo hiểm Hàng không (VNI) đổi tên thành Tổng công ty Cổ phần Bảo hiểm DBV (DBV Insurance Corporation) là một bước đi chiến lược nhằm thay đổi vị thế trên thị trường bảo hiểm Việt Nam.
Xem thêm
Phiên bản di động